Roberto Carlos tritt gegen Frankreich seinen Freistoss für die Ewigkeit
Nein, man glaubt es irgendwie immer noch nicht, auch wenn man den Freistoss in der Zwischenzeit hundert Mal gesehen hat. Wie um alles in der Welt kann der Ball ins Tor gehen? Er scheint doch auf dem Weg dorthin weit am Pfosten vorbei zu fliegen!
Nach einem Foul an Romario setzt sich der 1,68 m kleine Roberto Carlos im Testspiel Brasiliens gegen Frankreich in der 21. Minute den Ball für einen Freistoss, wie ihn die Welt noch nicht gesehen hat. Sorgfältig legt er die Kugel aufs Gras, beinahe zärtlich behandelt er sie, achtet darauf, dass das Ventil gegen ihn gerichtet ist.
Dann holt er Anlauf: Zwölf, fünfzehn Meter vom Anspielkreis donnert er heran. Der Aussenverteidiger mit den 58 Zentimeter dicken Oberschenkeln hämmert den Freistoss mit grossem Effet und einer unglaublichen Flugkurve zum 1:0 ins Netz. Goalie Fabien Barthez reibt sich wie Millionen Zuschauer die Augen.
Der Magnus-Effekt und die Distanz zum Tor
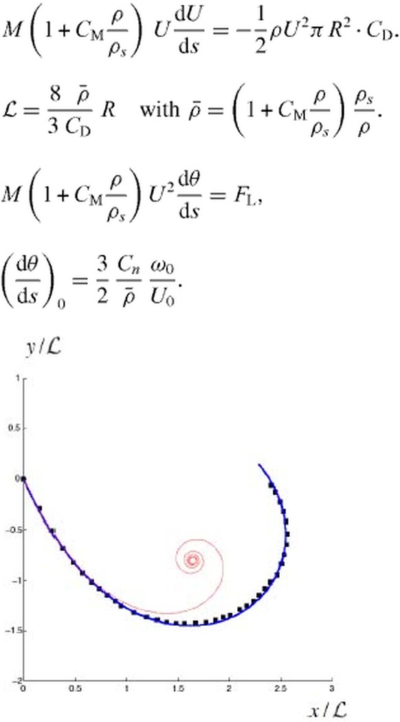
Im Herbst 2010, dreizehn Jahre nach dem Wunderschuss, finden Forscher die Erklärung dafür, weshalb der Ball den Weg ins Tor gefunden hat. Im «New Journal of Physics» skizziert ein französisches Quartett, was es für ein Tor wie dieses benötigt.
Einerseits kommt der Magnus-Effekt zur Anwendung. Tritt man den Ball mit dem Innen- oder Aussenrist besonders hart, fliegt er eine Kurve, weil der Ball rotiert und somit die Luft um ihn herum verwirbelt. Fliegt ein solcher Schuss besonders weit – weiter als 25 bis 30 Meter – ändert er die Kurve zum Schluss hin noch einmal, weil dann die Geschwindigkeit des Balls nachlässt, die Rotation aber bestehen bleibt.
Here's a brilliant image explaining Roberto Carlos' free-kick vs France... pic.twitter.com/Adu3ApDzGa
— 90s Football (@90sfootball) January 22, 2023
«Das ist einfach Schicksal»
Ob Roberto Carlos all dies weiss, als er zu seinem historischen Schuss anläuft? Mit Sicherheit nicht, aber das spielt auch keine Rolle. Denn Roberto Carlos ist der allerbeste Beweis dafür, dass die Praxis besser ist als jede Theorie.
«Als Sie dem Ball nachsahen, glaubten Sie, dass er rein geht?», fragen die Reporter und Carlos gibt ehrlich zu: «Nein!» Er glaubt auch nicht, dass die Forscher das Rätsel um seinen Schuss gelöst haben. «Ich kann es nicht erklären. Wie kann irgendjemand erklären, wie sich der Ball verhält?», fragt der 125-fache Nationalspieler. «Das ist einfach Schicksal.»
